天问一号于7月27日发射,啪的一下,很快啊,2月10号就要进入火星轨道了。火星毕竟是四十多亿岁的老同志,没有闪,这下要被天问一号看光光了。

作为咱们的第一枚火星探测器,第一枚外行星探测器,天问一号标志了我国航天技术的最尖端。天问一号现在可以说是万众瞩目,引起了大家的热烈讨论。小编,作为一名航天爱好者,也按捺不住自己的倾吐欲,想与大家分享一点有关于天问一号的小知识。
天问一号是怎么进入环火轨道的?这个环火轨道有什么特征?这样的轨道能用来做什么?
01 如何入轨?动量的“小”把戏
大家大概已经通过新闻知道——天问一号将会通过三次“近火点”的火箭点火,将自己固定在一个稳定的火星轨道上。
为什么是近火点呢?为什么不是轨道上的任意一个点呢?这样有什么好处呢?
其实,这就是一个关于动能和动量的“小把戏”。
图注:牛顿摆,动量守恒的“把戏”。
我们在高中就已经学习过“机械能守恒”的定理。对于一个物体来说,其动能和引力势能的和,被称为是机械能。机械能的具体大小是依赖于参考系的,首先它需要一个提供强大引力的天体,比如地球或者火星,其次其动能也是相对于这个天体而言的。
如果我们取距离地球无穷远处,一个特定物体的引力势能为“0”,那么,在距离地球任意远的地方,引力势能将是一个负值。而这个特定物体相对于地球的动能将始终是一个正值。采用这样的方法,我们将能够很轻易地通过二者的和,即机械能,来确定这个物体能否被引力捕获。机械能小于0,动能无法克服引力势能,物体被捕获,轨道形态为椭圆(当然,也有可能会撞上地面);机械能大于0,那么动能可以完全克服引力势能,物体逃逸,轨道形态为双曲线。
图注:旅行者1号在飞掠木星的时候,可见其双曲线逃逸轨道。
对于火星也是一样。天问一号来自于地球,造访火星,也就是说,他本来是属于“火星之外的”。如果以火星作为参考系,按照前文所述的计算方法,显然,其机械能是大于0的,如果不能想办法“减少机械能”,那么,天问一号就只能“飞掠”火星,再次逃逸,而非进入环绕的轨道。
怎么做呢?刹车。
当今航天器的刹车方法主要有两种,利用行星大气层阻力和空气动力的“大气刹车”,和利用火箭发动机的反向推进刹车。
图注:MRO(Mars Reconnaissance Orbiter),正在进行大气刹车。
美国人对火星的大气环境已经摸得比较熟了,这次他们的火星车将会直接采用大气刹车,一步到位,将“毅力号”火星车从逃逸轨道,减速到环绕轨道,再减速到亚轨道,然后着陆。
但是天问一号不行。一方面,天问一号分为轨道器与着陆器(巡视器)两大部分,轨道器要长期留在火星的稳定轨道上,不能一股脑地刹车;另一方面,我国对于火星大气环境,包括密度分布、温度分布、风场等等都知之甚少,美国在公开论文中给出的数据不够精细,也不能轻信。所以,天问一号实际上完全是采用火箭发动机反推刹车的方案。
反推刹车虽然听起来粗暴,但也有诸多的讲究。这就要回到“机械能”这个问题上去。
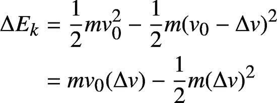
首先我们要了解,火箭发动机喷出的物质,会形成反冲力。这种反冲力会改变火箭的动量,而不是动能。设反冲力为F,火箭点火时间为t,航天器质量为m,初速度v0速度变化量为Δv。
那么根据动量守恒定理:

而火箭动能的改变量则为:

可以从公式里明显地看出,火箭点火时,初始速度越快,同样的点火时间所改变的动能就越多!也就是说,飞船飞得越快,动能越大,火箭刹车效率就越高!这,就是动量和动能耍的一个“小把戏”。
这种效应被称为奥伯特效应,由德国火箭专家,赫尔曼·奥伯特提出。
机械能由引力势能和动能组成,大家想想,天问一号在飞掠火星的时候,什么时候引力势能最小,动能最大呢?
那当然是距离火星最近的时候!也就是近火点。
02 极地轨道?长啥样?
第一次刹车,就发生在2月10日,大致于天问一号与火星的最近点处。这一次刹车将使天问一号进入环绕火星的轨道。此后还会有两次轨道机动,将会把天问一号固定在一个椭圆近极地轨道上。目前,由于天问一号正要执行相关的轨道机动,具体的轨道特征我们还不明确。按照计划,这个极地轨道的倾角大约86.9°。
图注:天问一号原计划的轨道机动计划。与当前最新公布的并不完全相同。不过,最终的265X12000km的科学任务轨道,与目前的计划是一致的。
火星大约每24小时37分钟自转一周(一个火星日),天问一号停留在极地轨道上,火星的地表就在下面一直转圈圈。极地轨道使得天问一号得以充分了解整个火星的全貌。
在前三个月里,天问一号停留在这个轨道上,不断地分析下方地表的情况,通过拍照、雷达、红外干涉的方法,摸清楚地形地貌、大气特征、风速、气候。然后找一个天朗气清,惠风和畅,并且没有沙尘暴的天气,降低轨道,把着陆器扔出去。这个日子大约在今年的五月份,那个时候火星北半球进入初夏,气候相对稳定。
图注:好奇号火星车进入火星大气层的动画模拟。到时候咱们的天问一号火星车也要来这么一遭。
扔出着陆器,天问一号轨道器又会抬升轨道,直到进入一个近火点265千米高度(距离火星参考平面),远火点12,500千米的椭圆近极地轨道。
这个轨道是精心设计的——相关文献显示,这个轨道,是一个“信号中继轨道”。
小编我大致算了一下,这个信号中继轨道,其轨道周期刚好是三分之一个火星日。因此,在一个火星日内,天问一号的轨道器将会绕火星整三圈。也就是说,会在天问一号着陆器的头顶飞过三次。这很重要——天问一号火星车只需要每天定时定点抬头看看,就能跟地球“打电话”了。
在天问一号火星车的主任务周期内,轨道器的科学任务将是次要的,而中继任务将是主要的,他将搭起火星车和地球沟通的桥梁,让地球上的我们能够“看见、听见”那遥远异星上的故事。
图注:天问一号轨道器搭载的科学载荷。第一行:载荷控制器、中分辨率相机、高分辨率相机;第二行:火星矿物谱仪、火星离子和中性粒子分析仪、火星能量粒子分析仪;第三行:磁通门磁强计电子学箱、磁通门探头、火星轨道科学勘察雷达主控制器。(Zou,2020)
在天问一号火星车任务结束之后,天问一号轨道器也会将轨道降低至最终的265X12000km,这个轨道被称为“科学轨道”,将被用于后续天问一号轨道器的具体科学测量任务。
03 科学测量?高椭圆轨道很重要
火星的科研是非常复杂的系统工程,而且隔行如隔山。于是小编决定只讲自己了解的——火星的磁场。
火星有一个很独特的性质:没有内生磁场。
我们知道地球是有内生磁场的,而且很强。那是一个偶极磁场,在地球两极地区大约能到达65000nT左右。就算是北京,也有大约40000nT。
而在火星,内生磁场基本没有,只有岩石圈有一些剩余磁场。
地球上,磁场抵御了太阳风。而在火星上,太阳风长驱直入,直接就吹拂在了火星的电离层上。
电离层的电导率非常高,相当于是良导体,在太阳风磁场的吹拂下,会产生抗磁性。从而,太阳风磁场的磁力线就被拉伸,弯曲,就像一缕发丝,披散在火星的大脑门上。
图注:太阳风磁场与火星电离层相互作用。本图视角为从北极向南极看。(Brian,2006)
比较奇妙的是,由于火星内生磁场可以忽略不计,太阳风磁场的主要方向又是东西方向(平行黄道面方向),因此火星电离层附近的磁场,也是东西方向的,与地球完全不同。
这缕发丝飘逸不羁,火星是留不住他的,于是这发丝渐渐向火星的南北两极披散过去,最终离开火星,回归行星际空间。
但这缕发丝燕过留痕——它带走了火星的气息。
就像“搓澡”一样,这太阳风磁场从火星电离层上一路“搓”过去,带走了很多火星电离层的成份。现在,科学家们猜测,火星大气和水的蒸发,就与前述的作用很有关系。
不过问题来了——以前的成功的火星轨道器,可没有为这个科学目标专门设计过!
图注:截止目前最先进的火星轨道探测器,NASA的MAVEN。它虽然具备探测火星磁场的仪器,但是轨道高点只有6000km,高度不足以测量火星磁尾。
以前大家最关注的就是火星表面,以及大气层内的科学特征,并不是十分关注电离层和磁层。所以,过往的探测器,很少有轨道设计成如天问一号轨道器一般,“极端”的高椭圆轨道的。他们的轨道高点都不够高,以至于无法勘察到火星磁尾的磁场,因此无法研究太阳风那缕“发丝”离开火星时,会有什么现象。
直到近些年,大家越发关注火星上剩余磁场、电离层、太阳风磁场共同作用对火星环境变迁的影响。天问一号将成为近20年来首个,既能测量近火空间磁场特征,又能测量火星磁尾的火星探测器!
为此,天问一号轨道器搭载的磁强计,将采取如图的测量模式:
图注:火星磁强计的测量模式:轨道近拱点的2小时,和轨道远拱点的1小时,采用32Hz的高采样模式,其余时间采取1Hz的低采样模式。(Liu,2020)
可以看出,空间物理科学家最关注的,正是火星近表的磁场,和火星磁尾的信息。这里,说不定还会有很大的科学发现,有可能可以揭示行星磁场演化消亡的机制、解读火星气候的变迁过程,并且对地球的环境变化做出预言。
听起来很宽泛?那就对了,毕竟这一切,目前还都蒙着神秘的面纱。
当然啦,天问一号作为我国的首个火星探测任务,其最主要的目标,直白地说,就是“成功”二字。只要能够成功入轨、成功着陆,就是最重要的成就。作为延伸任务的科学探测目标,在这次任务中,是第二重要的,需要等待前序任务都圆满成功后,再择机实施。
不过可以预见的是,在未来的一年至两年里,中国的行星探测科学产出,将会呈现井喷式增长——火星,我们已经来了!













